W tym zadaniu wylicz, jaką ogniskową mają okulary Magdy.
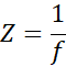
Skorzystaj ze wzoru:
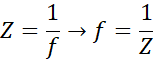
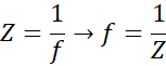
Przekształć go:
Podstaw dane i oblicz:
Zadanie 1
Zadanie 2
Zadanie 3
Zadanie 4
Zadanie 5
Zadanie 6
Zadanie 7
Podpunkt a)
Podpunkt b)
Podpunkt c)
Zadanie 8
Zadanie 9
Zadanie 10
Zadanie 11
Zadanie 12
Zadanie 13