Uczniowie sfilmowali doświadczenie fizyczne. W tabelce masz podane dane, które przedstawiają drogę pokonaną przez kulkę na taśmie mierniczej w określonym czasie. Taśma miernicza miała podziałkę co 0,1 cm, niepewność pomiaru położenia przyjęto 0,5 cm, natomiast kamera rejestrowała 30 klatek na sekundę. Wyznacz wartość przyspieszenia ziemskiego, korzystając z wykresu, który utworzyłeś w poprzednim podpunkcie.
Rozwiązanie
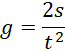
Wzór z Podpunkt:u 3.2.:
Punkt z wykresu, przechodzący przez dopasowaną prostą:
Wyznaczenie przyspieszenia:
Niepewność pomiaru:
Wyjaśnienie
Zauważ, że we wzorze na przyspieszenie ziemskie masz – jest to współczynnik nachylenia dopasowanej prostej. Przyspieszenie wyznaczasz zatem, znajdując jakiś punkt na dopasowanej prostej. Niepewność liczysz jako połowę różnicy pomiędzy maksymalną a minimalną wartością przyspieszenia. Punkty, które służą do wyznaczenia tych wartości, charakteryzują się tym, że znajdują się najwyżej (oraz najniżej (od dopasowanej prostej.