Zadanie

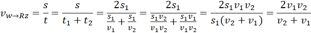
Pewien kierowca jechał z Warszawy do Rzeszowa, a następnie wracał. Jadąc do Rzeszowa, pierwszą połowę trasy pokonał ze średnią prędkością 50 , a drugą z prędkością 70 . Kiedy wracał, połowę czasu przejechał z pierwszą prędkością, a drugą połowę czasu z drugą prędkością. W tym zadaniu oblicz, jakie są średnie prędkości kierowcy na obu trasach oraz zinterpretować uzyskane wyniki.

Rozwiązanie

Wyjaśnienie

Zadania z tego działu
2. Ruch prostoliniowy
24
Jak opisać położenie ciała
30
Opis ruchu prostoliniowego
34