Po dodaniu trzeciej szpilki tworzy się trójkąt prostokątny o pionowej przyprostokątnej x, poziomej y i przeciwprostokątnej 10 cm.
Dla tego trójkąta:
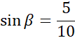
Dla drugiego trójkąta:
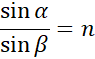
Podstawiając do prawa załamania:
Z Twierdzenia Pitagorasa:
Prawo załamania: