W tym zadaniu musisz wykonać obliczenia.
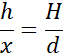
Justyna i drzewo stworzyli trójkąty podobne, ponieważ mają takie same kąty.
Justyna może się oddalić do tylko tak daleko, żeby ona i drzewo wciąż tworzyli trójkąty.
Ćwiczenie 6.1.
Ćwiczenie 6.2.
Ćwiczenie 6.3.
Ćwiczenie 6.4.
Ćwiczenie 6.5.
Podpunkt a)
Podpunkt b)
Ćwiczenie 6.6.
Ćwiczenie 6.7.
Ćwiczenie 6.8.
Ćwiczenie 6.9.
Ćwiczenie 6.10.
Ćwiczenie 6.11.
Ćwiczenie 6.12.
Ćwiczenie 6.13.
Ćwiczenie 6.14.
Ćwiczenie 6.15.
Ćwiczenie 6.16.
Ćwiczenie 6.17.
Ćwiczenie 6.18.
Ćwiczenie 6.19.
Ćwiczenie 6.20.
Ćwiczenie 6.21.
Ćwiczenie 6.22.
Ćwiczenie 6.23.
Ćwiczenie 6.24.
Ćwiczenie 6.25.
Ćwiczenie 6.26.
Ćwiczenie 6.27.
Ćwiczenie 6.28.
Ćwiczenie 6.29.
Ćwiczenie 6.30.
Ćwiczenie 6.31.
Ćwiczenie 6.32.
Ćwiczenie 6.33.
Ćwiczenie 6.34.
Ćwiczenie 6.35.
Ćwiczenie 6.36.
Ćwiczenie 6.37.
Ćwiczenie 6.38.
Ćwiczenie 6.39.
Ćwiczenie 6.40.
Ćwiczenie 6.41.
Ćwiczenie 6.42.
Ćwiczenie 6.43.
Ćwiczenie 6.44.
Ćwiczenie 6.45.
Ćwiczenie 6.46.
Ćwiczenie 6.47.
Ćwiczenie 6.48.
Ćwiczenie 6.49.
Ćwiczenie 6.50.
Ćwiczenie 6.51.
Ćwiczenie 6.52.
Ćwiczenie 6.53.
Ćwiczenie 6.54.
Ćwiczenie 6.55.
Ćwiczenie 6.56.
Ćwiczenie 6.57.
Ćwiczenie 6.58.
Ćwiczenie 6.59.
Ćwiczenie 6.60.
Ćwiczenie 6.61.
Ćwiczenie 6.62.
Ćwiczenie 6.63.
Podpunkt c)
Ćwiczenie 6.64.
Ćwiczenie 6.65.
Ćwiczenie 6.66.
Ćwiczenie 6.67.
Ćwiczenie 6.68.
Ćwiczenie 6.69.
Ćwiczenie 6.70.
Ćwiczenie 6.71.
Ćwiczenie 6.72.
Ćwiczenie 6.73.
Ćwiczenie 6.74.
Ćwiczenie 6.75.
Ćwiczenie 6.76.
Ćwiczenie 6.77.
Ćwiczenie 6.78.
Ćwiczenie 6.79.
Ćwiczenie 6.80.
Ćwiczenie 6.81.
Ćwiczenie 6.82.
Ćwiczenie 6.83.
Ćwiczenie 6.84.