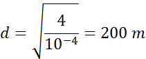
W tym zadaniu musisz oszacować odległość.
Z wykresu:
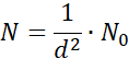
Natężenie dźwięku:
Gdzie:
d – odległość, N0 – natężane dźwięku w źródle
Ćwiczenie 6.1.
Ćwiczenie 6.2.
Ćwiczenie 6.3.
Ćwiczenie 6.4.
Ćwiczenie 6.5.
Podpunkt a)
Podpunkt b)
Ćwiczenie 6.6.
Ćwiczenie 6.7.
Ćwiczenie 6.8.
Ćwiczenie 6.9.
Ćwiczenie 6.10.
Ćwiczenie 6.11.
Ćwiczenie 6.12.
Ćwiczenie 6.13.
Ćwiczenie 6.14.
Ćwiczenie 6.15.
Ćwiczenie 6.16.
Ćwiczenie 6.17.
Ćwiczenie 6.18.
Ćwiczenie 6.19.
Ćwiczenie 6.20.
Ćwiczenie 6.21.
Ćwiczenie 6.22.
Ćwiczenie 6.23.
Ćwiczenie 6.24.
Ćwiczenie 6.25.
Ćwiczenie 6.26.
Ćwiczenie 6.27.
Ćwiczenie 6.28.
Ćwiczenie 6.29.
Ćwiczenie 6.30.
Ćwiczenie 6.31.
Ćwiczenie 6.32.
Ćwiczenie 6.33.
Ćwiczenie 6.34.
Ćwiczenie 6.35.
Ćwiczenie 6.36.
Ćwiczenie 6.37.
Ćwiczenie 6.38.
Ćwiczenie 6.39.
Ćwiczenie 6.40.
Ćwiczenie 6.41.
Ćwiczenie 6.42.
Ćwiczenie 6.43.
Ćwiczenie 6.44.
Ćwiczenie 6.45.
Ćwiczenie 6.46.
Ćwiczenie 6.47.
Ćwiczenie 6.48.
Ćwiczenie 6.49.
Ćwiczenie 6.50.
Ćwiczenie 6.51.
Ćwiczenie 6.52.
Ćwiczenie 6.53.
Ćwiczenie 6.54.
Ćwiczenie 6.55.
Ćwiczenie 6.56.
Ćwiczenie 6.57.
Ćwiczenie 6.58.
Ćwiczenie 6.59.
Ćwiczenie 6.60.
Ćwiczenie 6.61.
Ćwiczenie 6.62.
Ćwiczenie 6.63.
Podpunkt c)
Ćwiczenie 6.64.
Ćwiczenie 6.65.
Ćwiczenie 6.66.
Ćwiczenie 6.67.
Ćwiczenie 6.68.
Ćwiczenie 6.69.
Ćwiczenie 6.70.
Ćwiczenie 6.71.
Ćwiczenie 6.72.
Ćwiczenie 6.73.
Ćwiczenie 6.74.
Ćwiczenie 6.75.
Ćwiczenie 6.76.
Ćwiczenie 6.77.
Ćwiczenie 6.78.
Ćwiczenie 6.79.
Ćwiczenie 6.80.
Ćwiczenie 6.81.
Ćwiczenie 6.82.
Ćwiczenie 6.83.
Ćwiczenie 6.84.