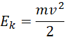
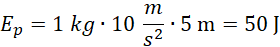
Energia kinetyczna w chwili uderzenia o ziemię wynosi 50 J.
Z zasady zachowania energii mechanicznej wynika, że w każdej chwili ruchu suma energii kinetycznej i potencjalnej jest taka sama. Na początku ruchu kamień ma tylko energię potencjalną. Na końcu wysokość nad ziemią wynosi 0, więc nie ma energii potencjalnej. Za to jego prędkość jest maksymalna. Ma wtedy tylko energię kinetyczną. Z tego wynika, że początkowa energia potencjalna równa się końcowej energii kinetycznej.