Skul.pl
  • Opracowania zadań z podręczników
  • Świat fizyki. Klasa 7. Zeszyt ćwiczeń - rozwiązania i odpowiedzi
  • Ćwiczenie 8.

Świat fizyki. Klasa 7. Zeszyt ćwiczeń - rozwiązania i odpowiedzi

Zeszyt ćwiczeń, Wydawnictwo: WSiP
Poprzednie

Ćwiczenie 8. - strona 103

Następne

Zadanie

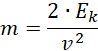
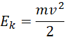
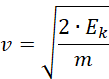
W tym zadaniu musisz obliczyć brakujące wielkości z tabeli.

Rozwiązanie

Ek (J)m (kg)v (m/s)
4020 2
400 504
100 405

Skul

Wyjaśnienie

Poprzednie
Następne

Fizyka - wybrane pytania

Zadanie 10.7., strona 252, Zrozumieć fizykę. Klasa 2. Zakres rozszerzony. Zbiór zadań - rozwiązania i odpowiedzi
Zadanie 52.3., strona 188, Zbiór zadań z fizyki dla szkoły podstawowej. Klasa 7-8 - rozwiązania i odpowiedzi
Zadanie 10, strona 132, Fizyka. Klasa 7. Podręcznik - rozwiązania i odpowiedzi
Zadanie 9, strona 6, Sprawdziany Fizyka. Klasa 7-8. Zbiór zadań - rozwiązania i odpowiedzi
Ćwiczenie 8., strona 78, Fizyka. Świat fizyki. Klasa 8. Zeszyt ćwiczeń - rozwiązania i odpowiedzi
Ćwiczenie 4., strona 88, Fizyka. Świat fizyki. Klasa 8. Zeszyt ćwiczeń - rozwiązania i odpowiedzi
Zadanie 3.1.3., strona 77, Zrozumieć fizykę. Klasa 1. Zakres rozszerzony. Zbiór zadań - rozwiązania i odpowiedzi
Zadanie 6.56., strona 90, Fizyka. Klasa 7-8. Zbiór zadań - rozwiązania i odpowiedzi
Zadanie 1, strona 191, Spotkania z fizyką. Klasa 7. Podręcznik - rozwiązania i odpowiedzi
Ćwiczenie 4.53., strona 59, Fizyka. Klasa 1-3. Zakres podstawowy. Zbiór zadań - rozwiązania i odpowiedzi
REKLAMA
Skul
Zadania z tego działu
6. Praca, moc, energia mechaniczna
95
1. Praca mechaniczna
95

Ćwiczenie 1.

95

Ćwiczenie 2.

95

Ćwiczenie 3.

95

Ćwiczenie 4.

96

Ćwiczenie 5.

96

Ćwiczenie 6.

96
2. Moc
97

Ćwiczenie 1.

97

Ćwiczenie 2.

97

Ćwiczenie 3.

97

Ćwiczenie 4.

98

Ćwiczenie 5.

98

Ćwiczenie 6.

98

Ćwiczenie 7.

99
3. Energia mechaniczna
100

Ćwiczenie 1.

100

Ćwiczenie 2.

100

Ćwiczenie 3.

100

Ćwiczenie 4.

101

Ćwiczenie 5.

101

Ćwiczenie 6.

101
4. Energia potencjalna i energia kinetyczna
102

Ćwiczenie 1.

102

Ćwiczenie 2.

102

Ćwiczenie 3.

102

Ćwiczenie 4.

103

Ćwiczenie 5.

103

Ćwiczenie 6.

103

Ćwiczenie 7.

103

Ćwiczenie 8.

103

Ćwiczenie 9.

103

Ćwiczenie 10.

104

Ćwiczenie 11.

104
5. Zasada zachowania energii mechanicznej
106

Ćwiczenie 1.

106

Ćwiczenie 2.

106

Ćwiczenie 3.

107

Ćwiczenie 4.

107

Ćwiczenie 5.

107

Ćwiczenie 6.

108

Ćwiczenie 7.

108

Ćwiczenie 8.

108
Dodatek A. Siła nośna
109

Ćwiczenie 1.

109

Ćwiczenie 2.

109

Ćwiczenie 3.

109

Ćwiczenie 4.

109

Ćwiczenie 5.

110
Pełny spis treści
Skul
Artboard 1
Skul.pl
  • Napisz do nas
  • FAQ
  • Mapa Serwisu
  • Google Play
  • App Store

Korzystanie z portalu oznacza akceptację Regulaminu.
Polityka prywatności. Ustawienia preferencji. Copyright: INTERIA.PL 1999-2023 Wszystkie prawa zastrzeżone.