Skul.pl
  • Opracowania zadań z podręczników
  • Świat fizyki. Klasa 7. Zeszyt ćwiczeń - rozwiązania i odpowiedzi
  • Ćwiczenie 9.

Świat fizyki. Klasa 7. Zeszyt ćwiczeń - rozwiązania i odpowiedzi

Zeszyt ćwiczeń, Wydawnictwo: WSiP
Poprzednie

Ćwiczenie 9. - strona 103

Następne

Zadanie

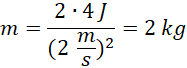
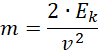
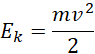
W tym zadaniu musisz obliczyć masę kuli na podstawie wykresu.

Rozwiązanie

Masa kuli wynosi 2 kg.

Skul

Wyjaśnienie

Poprzednie
Następne

Fizyka - wybrane pytania

Zadanie 16.3.22., strona 41, Zrozumieć fizykę 4. Zakres rozszerzony. Zbiór zadań - rozwiązania i odpowiedzi
Zadanie To powinieneś umieć 6., strona 55, Odkryć fizykę. Klasa 3. Zakres podstawowy. Podręcznik - rozwiązania i odpowiedzi
Zadanie więcej 1., strona 124, Fizyka. Fizyka z plusem. Klasa 7. Podręcznik - rozwiązania i odpowiedzi
Zadanie 5, strona 85, Spotkania z fizyką. Klasa 8. Zeszyt ćwiczeń - rozwiązania i odpowiedzi
Pytanie 2., strona 113, Fizyka. Fizyka z plusem. Klasa 7. Podręcznik - rozwiązania i odpowiedzi
Zadanie 5., strona 225, Fizyka. To jest fizyka. Klasa 8. Podręcznik - rozwiązania i odpowiedzi
Zadanie 6.11., strona 24, Zbiór zadań z fizyki dla szkoły podstawowej. Klasa 7-8 - rozwiązania i odpowiedzi
Zadanie 6.29., strona 49, Świat fizyki. Klasa 7. Zbiór zadań - rozwiązania i odpowiedzi
Zadanie 1, strona 29, Spotkania z fizyką. Klasa 8. Zeszyt ćwiczeń - rozwiązania i odpowiedzi
Zadanie 2., strona 74, Zrozumieć fizykę. Klasa 2. Podręcznik. Zakres rozszerzony - rozwiązania i odpowiedzi
REKLAMA
Skul
Zadania z tego działu
6. Praca, moc, energia mechaniczna
95
1. Praca mechaniczna
95

Ćwiczenie 1.

95

Ćwiczenie 2.

95

Ćwiczenie 3.

95

Ćwiczenie 4.

96

Ćwiczenie 5.

96

Ćwiczenie 6.

96
2. Moc
97

Ćwiczenie 1.

97

Ćwiczenie 2.

97

Ćwiczenie 3.

97

Ćwiczenie 4.

98

Ćwiczenie 5.

98

Ćwiczenie 6.

98

Ćwiczenie 7.

99
3. Energia mechaniczna
100

Ćwiczenie 1.

100

Ćwiczenie 2.

100

Ćwiczenie 3.

100

Ćwiczenie 4.

101

Ćwiczenie 5.

101

Ćwiczenie 6.

101
4. Energia potencjalna i energia kinetyczna
102

Ćwiczenie 1.

102

Ćwiczenie 2.

102

Ćwiczenie 3.

102

Ćwiczenie 4.

103

Ćwiczenie 5.

103

Ćwiczenie 6.

103

Ćwiczenie 7.

103

Ćwiczenie 8.

103

Ćwiczenie 9.

103

Ćwiczenie 10.

104

Ćwiczenie 11.

104
5. Zasada zachowania energii mechanicznej
106

Ćwiczenie 1.

106

Ćwiczenie 2.

106

Ćwiczenie 3.

107

Ćwiczenie 4.

107

Ćwiczenie 5.

107

Ćwiczenie 6.

108

Ćwiczenie 7.

108

Ćwiczenie 8.

108
Dodatek A. Siła nośna
109

Ćwiczenie 1.

109

Ćwiczenie 2.

109

Ćwiczenie 3.

109

Ćwiczenie 4.

109

Ćwiczenie 5.

110
Pełny spis treści
Skul
Artboard 1
Skul.pl
  • Napisz do nas
  • FAQ
  • Mapa Serwisu
  • Google Play
  • App Store

Korzystanie z portalu oznacza akceptację Regulaminu.
Polityka prywatności. Ustawienia preferencji. Copyright: INTERIA.PL 1999-2023 Wszystkie prawa zastrzeżone.