Dane:
Szukane:
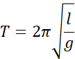
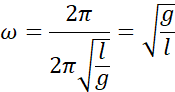
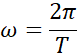
Rozwiązanie:
Korzystamy na początku z zasady zachowania pędu i zapisujemy równanie, zauważmy, że prędkość, z jaką będzie się poruszać kula wraz z pociskiem po zderzeniu niesprężystym jest prędkością, z jaką obiekt przejdzie przez położenie równowagi, zatem jest to prędkość maksymalna ruchu drgającego, z równania wynikającego z zasady zachowania pędu oraz wzoru na prędkość maksymalną wyprowadzamy wzór na prędkość pocisku przed zderzeniem.