Zadanie

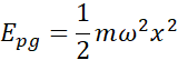
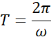
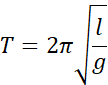
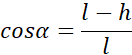
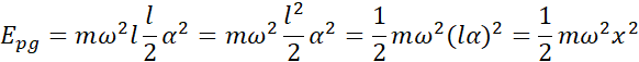
Należy dowieść, że energia potencjalna grawitacji dla wahadła matematycznego drgającego harmonicznie jest proporcjonalna do wychylenia.

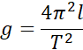
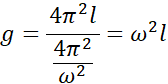
Rozwiązanie

Wyjaśnienie

Zadania z tego działu
9. Ruch drgający
135