Dane:
Szukane:
Rozwiązanie:
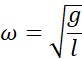
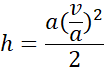
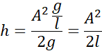
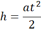
Ciało porusza się ruchem z przyspieszeniem. Korzystając ze wzoru na drogę w tym ruchu, obliczamy wartość naszej maksymalnej wysokość w pobliżu położenie równowagi, gdzie wówczas prędkość, będzie osiągać swoją maksymalną wartość. Korzystając ze wzorów na prędkość kontową oraz tego, że ciało porusza się z przyspieszeniem ziemskim, obliczamy szukaną wielkość.