Należy napisać równanie opisujące wychylenie ciężarka z położenia równowagi.
Rozwiązanie
Dane:
Szukane:
Rozwiązanie:
Wyjaśnienie
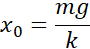
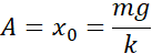
Skoro w chwili ciężarek znajdował się w maksymalnym wychyleniu, to znaczy, że rozciągnięcie sprężyny jest również amplitudą jej drgań, zanim ciężarek zaczął drgać, był on w spoczynku, czyli siła, która rozciągnęła sprężynę, była równa sile sprężystości sprężyny, na podstawie tej równości, oraz odpowiednich wzorów obliczamy amplitudę. Następnie korzystając z równania wychylenia zależnego od czasu oraz wzoru na prędkość kątową, wyprowadzamy ostateczny wzór na wychylenie.