Należy obliczyć przyspieszenie, z jakim porusza się rakieta.
Dane:
Szukane:
Rozwiązanie:
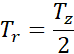
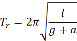
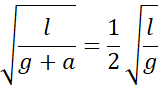
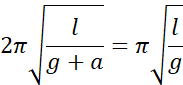
Rozpisujemy wzory na okresy drgań wahadła na Ziemi i rakiecie, pamiętając, że traktując zadania jako układ nieinercjalny na rakietę działa siła bezwładności o tym samym kierunku i zwrocie co grawitacji. Przyspieszenie dla rakiety to suma przyspieszenia ziemskiego i rakiety. Korzystając z zależności podanej w zadaniu, obliczamy przyspieszenie, z jakim porusza się rakieta.
Zadanie 9.1.5.
135Zadanie 9.1.7.
136Zadanie 9.1.8.
136Zadanie 9.1.10.
136Zadanie 9.1.11.
137Zadanie 9.1.12.
137Zadanie 9.1.13.
137Zadanie 9.1.14.
137Zadanie 9.2.7.
144Zadanie 9.2.8.
144Zadanie 9.2.11.
145Zadanie 9.2.12.
145Zadanie 9.1.14.
145Zadanie 9.3.1
149Zadanie 9.3.7.
150Zadanie 9.3.8.
150Zadanie 9.3.10.
150Zadanie 9.3.11.
150Zadanie 9.3.12.
151Zadanie 9.3.14.
151Zadanie 9.4.2.
159Zadanie 9.4.10.
161Zadanie 9.4.17.
162Zadanie 1. Ruch drgający
174Zadanie 2. Suwnica bramowa
174Zadanie 3. Dwie sprężyny
175Zadanie 4. Winda towarowa
175Zadanie 5. Wahadło fizyczne
176