Dane:
Rozwiązanie:
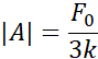
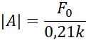
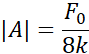
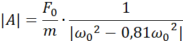
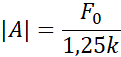
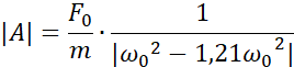
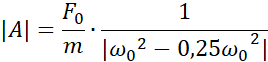
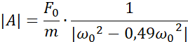
Dla
Dla
Dla
Dla
Dla
Dla
Dla
Dla
Dla
| 0,22 | 0,27 | 0,39 | 1,05 | ∞ | 0,95 | 0,16 | 0,067 | 0,025 |
Korzystając ze wzoru na siłę wymuszającą drgania, obliczamy siłę początkową pamiętając, że jest tam dwa razy. Następnie korzystając ze wzoru na częstość kołową i amplitudę drgań wymuszonych obliczamy kolejne wartości, które wprowadzamy do tabeli.