W tym zadaniu musisz wyznaczyć pracę wyjścia elektronu z katody.
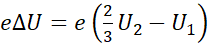
Stąd:
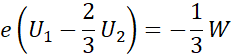
Uwzględniając, iż przy długości fali 1,5 raza krótszej napięcie hamujące wzrasta do
Odejmując stronami:
Wyjaśnienie:
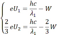
Rozpisz energię kinetyczną elektronu jako pracę pola elektrycznego
Rozwiązując go na
Zadanie 8.
146Zadanie 13.
147Zadanie 14.
147Zadanie 16.
148Zadanie 4.
155Zadanie 13.
156Zadanie 14.
156Zadanie 17.
157Zadanie 1.
162Zadanie 5.
163Zadanie 20.
167Zadanie 21.
168Zadanie 2.
174Zadanie 3.
175Zadanie 5.
175Zadanie 10.
176Zadanie 22.
178Zadanie 2.
181Zadanie 6.
181Zadanie 1.
186Zadanie 3.
187Zadanie 11.
189Zadanie 13.
189Zadanie 17.
190Zadanie 1.
194Zadanie 2.
194Zadanie 3.
195