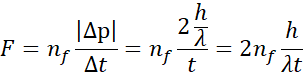
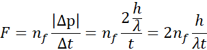
W tym zadaniu musisz udowodnić, iż wartość siły oddziaływania wiązki z płytą jest określona przez formułę
Moc promieniowania elektromagnetycznego:
Z drugiej strony, całkowita siła wywierana na powierzchnię odbijającą całkowite padające promieniowanie:
Mamy układ równań:
Dzielimy drugie z równań przez 2, a pierwsze – przez
Widzimy, iż prawe strony równań są identyczne, zatem lewe strony są równe:
Wyjaśnienie:
Ułóż układ równań, składający się z przekształconej definicji mocy i drugiej zasady dynamiki Newtona, czyli z równań:
Rozwiąż następnie ten układ na siłę w funkcji ilorazu
Zadanie 8.
146Zadanie 13.
147Zadanie 14.
147Zadanie 16.
148Zadanie 4.
155Zadanie 13.
156Zadanie 14.
156Zadanie 17.
157Zadanie 1.
162Zadanie 5.
163Zadanie 20.
167Zadanie 21.
168Zadanie 2.
174Zadanie 3.
175Zadanie 5.
175Zadanie 10.
176Zadanie 22.
178Zadanie 2.
181Zadanie 6.
181Zadanie 1.
186Zadanie 3.
187Zadanie 11.
189Zadanie 13.
189Zadanie 17.
190Zadanie 1.
194Zadanie 2.
194Zadanie 3.
195