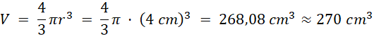
Kula:
r = 4 cm
V = 270 cm3
Walec:
r = 2 cm
h = 4 cm
V = 50,3 cm3
Jeżeli nie wiesz, jak obliczyć objętości przedstawionych brył skorzystaj ze wzorów na końcu podręcznika. Zaokrąglenie do dwóch cyfr znaczących oznacza, że liczba po zaokrągleniu będzie składać się z dwóch cyfr różnych od zera.
Objętość kuli obliczysz, korzystając ze wzoru:
A objętość walca obliczysz ze wzoru: