Oblicz gęstość drewna, z którego wykonano klocek.
V = 31,5 cm3
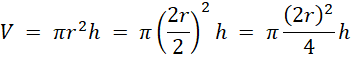
Oby obliczyć gęstość musisz obliczyć najpierw objętość walca:
Następnie oblicz gęstość:
Zadanie 1.
Podpunkt a)
Podpunkt b)
Podpunkt c)
Podpunkt d)
Podpunkt e)
Podpunkt f)
Zadanie 2.
Zadanie 3.
Zadanie 4.
Zadanie 5.
Zadanie A.
Zadanie B.
Zadanie Jakie wywierasz ciśnienie
Zadanie 6.
Zadanie Woda i olej
Zadanie 7.