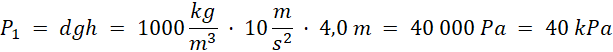
Wskazania ciśnieniomierzy od góry zbiornika:
Skala 1:100 oznacza, że zmierzony 1 cm odpowiada 100 cm w rzeczywistości. Odległości manometrów od powierzchni cieczy (od góry):
Ciśnienie wskazywane w poszczególnych punktach zbiornika będzie ciśnieniem hydrostatycznym wody będącej w zbiorniku. (