Siła działająca na ciało leżące na tłoku wynosi 2,5 N, jest ona skierowana pionowo do góry.
Stosując prawo Paskala dla prasy hydraulicznej, uzyskasz proporcję:
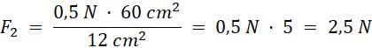
Twoim zadaniem jest obliczenie wartości siły F2:
Nie musisz przeliczać powierzchni z cm2 na m2, ponieważ jednostki powierzchni się skrócą.