Masa pustej menzurki: 81,1 g
Masa menzurki z miodem: 179,6 g
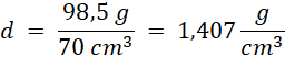
Masa miodu: 98,5 g
Objętość miodu: 70 ml
Gęstość miodu wynosi
Masę miodu obliczysz, odejmując od siebie masy menzurki z miodem i bez: 179,6 g-81,1 g = 98,5 g
Objętość miodu odczytaj ze zdjęcia b): 70 ml = 70 cm3
Gęstość miodu jest stosunkiem masy do objętości substancji: