Skul.pl
  • Opracowania zadań z podręczników
  • Fizyka. Klasa 7-8. Zbiór zadań - rozwiązania i odpowiedzi
  • Zadanie 8.54.

Fizyka. Klasa 7-8. Zbiór zadań - rozwiązania i odpowiedzi

Zbiór zadań, Wydawnictwo: WSiP
Poprzednie

Zadanie 8.54. - strona 116

Następne

Zadanie

Określ, który wzór określa zależność, kiedy energie potencjalne ciężkości 2 ciał są jednakowe.

Rozwiązanie

Energia potencjalna:

Dla ciała 1:

Dla ciała 2:

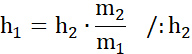
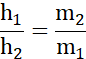
Energie są sobie równe:

Odpowiedź B)

Skul

Wyjaśnienie

Wzór na energię potencjalną ma postać:

,

gdzie – energia potencjalna [J],

g – przyspieszenie ziemskie (na Ziemi wynosi około ),

m – masa ciała [kg].

h – wysokość [m].

Poprzednie
Następne

Fizyka - wybrane pytania

Ćwiczenie doświadczenie 1., strona 130, Fizyka. Klasa 7. Podręcznik - rozwiązania i odpowiedzi
Zadanie 7.27., strona 100, Fizyka. Klasa 7-8. Zbiór zadań - rozwiązania i odpowiedzi
Zadanie 59.7., strona 217, Zbiór zadań z fizyki dla szkoły podstawowej. Klasa 7-8 - rozwiązania i odpowiedzi
Zadanie 16.11.2., strona 111, Zrozumieć fizykę 4. Zakres rozszerzony. Zbiór zadań - rozwiązania i odpowiedzi
Zadanie 34.24., strona 125, Zbiór zadań z fizyki dla szkoły podstawowej. Klasa 7-8 - rozwiązania i odpowiedzi
Zadanie 1, strona 198, To jest fizyka. Klasa 7. Podręcznik - rozwiązania i odpowiedzi
Ćwiczenie 4., strona 30, Świat fizyki. Klasa 7. Zeszyt ćwiczeń - rozwiązania i odpowiedzi
Zadanie 2., strona 57, Spotkania z fizyką. Klasa 8. Podręcznik - rozwiązania i odpowiedzi
Zadanie 6., strona 66, Fizyka z plusem. Klasa 8. Podręcznik - rozwiązania i odpowiedzi
Ćwiczenie 5.9., strona 67, Fizyka. Klasa 1-3. Zakres podstawowy. Zbiór zadań - rozwiązania i odpowiedzi
REKLAMA
Skul
Zadania z tego działu
Praca, moc, energia
109
Praca
109

Zadanie 8.1.

109

Zadanie 8.2.

109

Zadanie 8.3.

109

Zadanie 8.4.

109

Zadanie 8.5.

109

Zadanie 8.6.

109

Zadanie 8.7.

110

Zadanie 8.8.

110

Zadanie 8.9.

110

Zadanie 8.10.

110

Zadanie 8.11.

110

Zadanie 8.12.

110

Zadanie 8.13.

110

Zadanie 8.14.

110

Zadanie 8.15.

110

Zadanie 8.16.

111

Zadanie 8.17.

111

Zadanie 8.18.

111

Zadanie 8.19.

111

Zadanie 8.20.

111

Zadanie 8.21.

111

Zadanie 8.22.

111

Zadanie 8.23.

111

Zadanie 8.24.

112

Zadanie 8.25.

112

Zadanie 8.26.

112

Zadanie 8.27.

112

Zadanie 8.28.

113

Zadanie 8.29.

113
Moc
113

Zadanie 8.30.

113

Zadanie 8.31.

113

Zadanie 8.32.

113

Zadanie 8.33.

113

Zadanie 8.34.

114

Zadanie 8.35.

114

Zadanie 8.36.

114

Zadanie 8.37.

114

Zadanie 8.38.

114

Zadanie 8.39.

114

Zadanie 8.40.

114

Zadanie 8.41.

114

Zadanie 8.42.

114

Zadanie 8.43.

114

Zadanie 8.44.

115

Zadanie 8.45.

115

Zadanie 8.46.

115

Zadanie 8.47.

115

Zadanie 8.48.

115
Energia. Zasada zachowania energii mechanicznej
115

Zadanie 8.49.

115

Zadanie 8.50.

115

Zadanie 8.51.

115

Zadanie 8.52.

116

Zadanie 8.53.

116

Zadanie 8.54.

116

Zadanie 8.55.

116

Zadanie 8.56.

116

Zadanie 8.57.

117

Zadanie 8.58.

117

Zadanie 8.59.

117

Zadanie 8.60.

117

Zadanie 8.61.

117

Zadanie 8.62.

117

Zadanie 8.63.

118

Zadanie 8.64.

118

Zadanie 8.65.

118

Zadanie 8.66.

118

Zadanie 8.67.

118

Zadanie 8.68.

118

Zadanie 8.69.

118

Zadanie 8.70.

118

Zadanie 8.71.

118

Zadanie 8.72.

119

Zadanie 8.73.

119

Zadanie 8.74.

119
Pełny spis treści
Skul
Artboard 1
Skul.pl
  • Napisz do nas
  • FAQ
  • Mapa Serwisu
  • Google Play
  • App Store

Korzystanie z portalu oznacza akceptację Regulaminu.
Polityka prywatności. Ustawienia preferencji. Copyright: INTERIA.PL 1999-2023 Wszystkie prawa zastrzeżone.