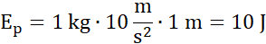
Energia potencjalna:
Masa:
Przyspieszenie ziemskie:
Wysokość:
Całość energii potencjalnej została zamieniona w pracę przeciwko tarciu i oporom powietrza:
Kulka wykonała pracę równą 10 dżulom.
Wzór na energię potencjalną ma postać:
gdzie
g – przyspieszenie ziemskie
m – masa ciała [kg].
h – wysokość [m].
W ciągu każdego wahnięcia część energii potencjalnej została zamieniona w pracę przeciwko siłom tarcia.