Prędkość na początku:
Prędkość później:
Praca wykonana przez silnik na początku:
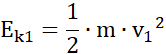
Energia kinetyczna na początku:
Jest równa wykonanej pracy:
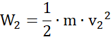
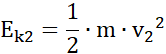
Energia kinetyczna później:
Jest równa wykonanej pracy:
Dzielimy stronami oba równania:
Odpowiedź B) 80 kJ
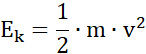
Wzór na energię kinetyczną ma postać:
gdzie
m – masa ciała [N]
v – prędkość [
Energia kinetyczna jest wprost proporcjonalna do kwadratu prędkości.