Skul.pl
  • Opracowania zadań z podręczników
  • Fizyka. Klasa 7-8. Zbiór zadań - rozwiązania i odpowiedzi
  • Zadanie 8.12.

Fizyka. Klasa 7-8. Zbiór zadań - rozwiązania i odpowiedzi

Zbiór zadań, Wydawnictwo: WSiP
Poprzednie

Zadanie 8.12. - strona 110

Następne

Zadanie

Policz średnią prędkość konia i wozu, jaki wykonał koń ciągnący wóz.

Rozwiązanie

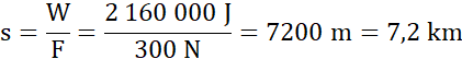
Siła:

Praca:

Droga:

Czas:

Prędkość:

Skul

Wyjaśnienie

Wzór na pracę ma postać:

,

gdzie W – praca [J]

F – siła, z jaką działamy [N],

s – droga (przesunięcie) [m].

Wykorzystaj wzór na prędkość:

gdzie – prędkość średnia [

s – droga [m]

t – czas [s].

Poprzednie
Następne

Fizyka - wybrane pytania

Zadanie 2, strona 105, Spotkania z fizyką. Klasa 7. Zeszyt ćwiczeń - rozwiązania i odpowiedzi
Zadanie 1., strona 185, Odkryć fizykę. Klasa 2. Podręcznik. Zakres podstawowy - rozwiązania i odpowiedzi
Zadanie 26, strona 38, Fizyka. Klasy 1-3. Zakres podstawowy. Zbiór zadań - rozwiązania i odpowiedzi
Zadanie 6., strona 112, Odkryć fizykę. Klasa 2. Podręcznik. Zakres podstawowy - rozwiązania i odpowiedzi
Zadanie 10, strona 82, Fizyka. Klasy 1-3. Zakres podstawowy. Zbiór zadań - rozwiązania i odpowiedzi
Zadanie 12.57., strona 164, Fizyka. Klasa 7-8. Zbiór zadań - rozwiązania i odpowiedzi
Zadanie 3., strona 48, Fizyka. To jest fizyka. Klasa 8. Podręcznik - rozwiązania i odpowiedzi
Zadanie 3., strona 14, Fizyka z plusem. Klasa 8. Zeszyt ćwiczeń – rozwiązania i odpowiedzi
Zadanie 3, strona 80, Zrozumieć fizykę. Klasa 1.Podręcznik. Zakres rozszerzony - rozwiązania i odpowiedzi
Ćwiczenie 35.3, strona 173, Fizyka. Klasa 3. Zakres rozszerzony. Zbiór zadań - rozwiązania i odpowiedzi
REKLAMA
Skul
Zadania z tego działu
Praca, moc, energia
109
Praca
109

Zadanie 8.1.

109

Zadanie 8.2.

109

Zadanie 8.3.

109

Zadanie 8.4.

109

Zadanie 8.5.

109

Zadanie 8.6.

109

Zadanie 8.7.

110

Zadanie 8.8.

110

Zadanie 8.9.

110

Zadanie 8.10.

110

Zadanie 8.11.

110

Zadanie 8.12.

110

Zadanie 8.13.

110

Zadanie 8.14.

110

Zadanie 8.15.

110

Zadanie 8.16.

111

Zadanie 8.17.

111

Zadanie 8.18.

111

Zadanie 8.19.

111

Zadanie 8.20.

111

Zadanie 8.21.

111

Zadanie 8.22.

111

Zadanie 8.23.

111

Zadanie 8.24.

112

Zadanie 8.25.

112

Zadanie 8.26.

112

Zadanie 8.27.

112

Zadanie 8.28.

113

Zadanie 8.29.

113
Moc
113

Zadanie 8.30.

113

Zadanie 8.31.

113

Zadanie 8.32.

113

Zadanie 8.33.

113

Zadanie 8.34.

114

Zadanie 8.35.

114

Zadanie 8.36.

114

Zadanie 8.37.

114

Zadanie 8.38.

114

Zadanie 8.39.

114

Zadanie 8.40.

114

Zadanie 8.41.

114

Zadanie 8.42.

114

Zadanie 8.43.

114

Zadanie 8.44.

115

Zadanie 8.45.

115

Zadanie 8.46.

115

Zadanie 8.47.

115

Zadanie 8.48.

115
Energia. Zasada zachowania energii mechanicznej
115

Zadanie 8.49.

115

Zadanie 8.50.

115

Zadanie 8.51.

115

Zadanie 8.52.

116

Zadanie 8.53.

116

Zadanie 8.54.

116

Zadanie 8.55.

116

Zadanie 8.56.

116

Zadanie 8.57.

117

Zadanie 8.58.

117

Zadanie 8.59.

117

Zadanie 8.60.

117

Zadanie 8.61.

117

Zadanie 8.62.

117

Zadanie 8.63.

118

Zadanie 8.64.

118

Zadanie 8.65.

118

Zadanie 8.66.

118

Zadanie 8.67.

118

Zadanie 8.68.

118

Zadanie 8.69.

118

Zadanie 8.70.

118

Zadanie 8.71.

118

Zadanie 8.72.

119

Zadanie 8.73.

119

Zadanie 8.74.

119
Pełny spis treści
Skul
Artboard 1
Skul.pl
  • Napisz do nas
  • FAQ
  • Mapa Serwisu
  • Google Play
  • App Store

Korzystanie z portalu oznacza akceptację Regulaminu.
Polityka prywatności. Ustawienia preferencji. Copyright: INTERIA.PL 1999-2023 Wszystkie prawa zastrzeżone.