Masa ciała:
Czas spadania:
Przyspieszenie ziemskie:
Prędkość podczas swobodnego spadania:
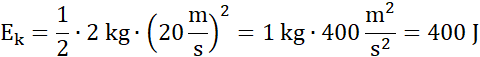
Energia kinetyczna:
Ciało będzie mieć energię kinetyczną równą 400 dżulom.
Prędkość końcową podczas swobodnego spadania ciał oblicz ze wzoru:
gdzie
t – czas spadania [s],
g – przyspieszenie ziemskie
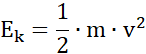
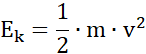
Wzór na energię kinetyczną ma postać:
gdzie
m – masa ciała [N]
v – prędkość [