Energia potencjalna:
Masa:
Przyspieszenie ziemskie:
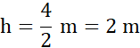
Wysokość jest równa promieniowi igloo:
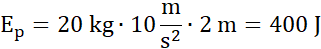
By podnieść energię potencjalną bloku, należało wykonać prace o tej samej wartości.
Eskimos wykona pracę 400 J. Energia potencjalna bloku wzrośnie też o 400 J.
Wzór na energię potencjalną ma postać:
gdzie
g – przyspieszenie ziemskie
m – masa ciała [kg].
h – wysokość [m].