Oblicz prędkość fali dźwiękowej w srebrze, wiedząc, że moduł sprężystości dla tego materiału wynosi
Dane:
Skorzystajmy ze wzoru:
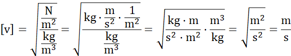
Sprawdźmy wymiar:
Odpowiedź: Prędkość dźwięku w srebrze to około 3655
Skorzystaj ze wzoru na prędkość dźwięku w ciele stałym, jest to pierwiastek iloraz modułu sprężystości i gęstości ciała stałego. Następnie sprawdź wymiar prędkości – zapisz jedynie jednostki występujące we wzorze. Pamiętaj, wymiar niutona to kilogram razy metr na sekundę do kwadratu. Skracaj jednostki, gdy to tylko możliwe, a na koniec wykonaj pierwiastkowanie.
Zadanie 10.1.2.
191Zadanie 10.1.3.
191Zadanie 10.3.8.
203Zadanie 10.3.13.
203Zadanie 10.2.1.
195Zadanie 10.2.4.
196Zadanie 10.2.5.
196Zadanie 10.2.6.
196Zadanie 10.2.12.
197Zadanie 10.4.2.
208Zadanie 10.4.8.
208Zadanie 10.4.9.
209Zadanie 10.4.12.
209Zadanie 10.4.14.
209Zadanie 10.5.1.
213Zadanie 10.5.2.
213Zadanie 10.5.7.
214Zadanie 10.5.14.
216Zadanie 10.5.17.
217Zadanie 10.6.3.
225Zadanie 10.6.4.
225Zadanie 10.6.10.
226Zadanie 10.6.14.
227Zadanie 10.6.15.
227Zadanie 10.7.3.
240Zadanie 10.7.4.
241Zadanie 10.7.5.
241Zadanie 10.7.6.
241Zadanie 10.7.11.
242Zadanie 10.7.12.
242Zadanie 10.7.16.
243Zadanie 10.7.18.
243Zadanie 10.7.19.
243Zadanie 10.7.21.
244Zadanie 10.8.2.
249Zadanie 10.8.3.
249Zadanie 10.8.8.
250Zadanie 10.8.9.
250Zadanie 10.8.12.
251Zadanie 10.6.
252Zadanie 1. Piszczałki organowe
257Zadanie 2. Karetka pogotowia
275Zadanie 3. Rozchodzenie się dźwięku
259Zadanie 4. Rogi przeciwmgielne
259Zadanie 5. Pomiar prędkości dźwięku
260Zadanie 6. Klamerki
261