Oblicz iloraz natężeń dźwięku rakiety i szumiących liści, wiedząc, że poziom natężenia dźwięku liści to βL = 10 dB, a startującej rakiety – βR = 150 dB. Otrzymany wynik porównaj z ilorazem poziomów natężeń rakiety i liści oraz wyjaśnij tę rozbieżność.
Dane:
βL = 10 dB
βR = 150 dB
Skorzystajmy ze wzoru:
Otrzymujemy:
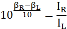
Korzystamy z własności logarytmów – różnica logarytmów to logarytm ilorazu:
Korzystamy z definicji logarytmu:
Co daje nam:
Iloraz poziomów natężenia dźwięku to:
Odpowiedź: Iloraz natężeń dźwięków rakiety i liści to
Zapisz wzór na poziom natężenia dźwięku (iloczyn liczby 10 oraz logarytmu dziesiętnego z ilorazu natężenia dźwięku i progu słyszalności). Skorzystaj z własności logarytmów i wyznacz różnicę poziomów natężenia rakiety i liści. Następnie z definicji logarytmu wyznacz iloraz natężeń dźwięku rakiety i liści. Przypomnij sobie wykres funkcji logarytmicznej i liniowej – funkcja liniowa rośnie ku górze szybciej, więc otrzymany iloraz będzie większy.
Zadanie 10.1.2.
191Zadanie 10.1.3.
191Zadanie 10.3.8.
203Zadanie 10.3.13.
203Zadanie 10.2.1.
195Zadanie 10.2.4.
196Zadanie 10.2.5.
196Zadanie 10.2.6.
196Zadanie 10.2.12.
197Zadanie 10.4.2.
208Zadanie 10.4.8.
208Zadanie 10.4.9.
209Zadanie 10.4.12.
209Zadanie 10.4.14.
209Zadanie 10.5.1.
213Zadanie 10.5.2.
213Zadanie 10.5.7.
214Zadanie 10.5.14.
216Zadanie 10.5.17.
217Zadanie 10.6.3.
225Zadanie 10.6.4.
225Zadanie 10.6.10.
226Zadanie 10.6.14.
227Zadanie 10.6.15.
227Zadanie 10.7.3.
240Zadanie 10.7.4.
241Zadanie 10.7.5.
241Zadanie 10.7.6.
241Zadanie 10.7.11.
242Zadanie 10.7.12.
242Zadanie 10.7.16.
243Zadanie 10.7.18.
243Zadanie 10.7.19.
243Zadanie 10.7.21.
244Zadanie 10.8.2.
249Zadanie 10.8.3.
249Zadanie 10.8.8.
250Zadanie 10.8.9.
250Zadanie 10.8.12.
251Zadanie 10.6.
252Zadanie 1. Piszczałki organowe
257Zadanie 2. Karetka pogotowia
275Zadanie 3. Rozchodzenie się dźwięku
259Zadanie 4. Rogi przeciwmgielne
259Zadanie 5. Pomiar prędkości dźwięku
260Zadanie 6. Klamerki
261