Wykonaj konieczne obliczenia i podaj odległość od miejsca pierwszego pomiaru, w której natężenie dźwięku będzie dwukrotnie mniejsze, wiedząc, że na początku badania samochód znajdował się w odległości l = 100 m od alarmu i poziom natężenia dźwięku wyniósł β = 50 dB.
Dane:
l = 100 m
β = 50 dB
Ponadto:
Skorzystajmy ze wzoru (alarm wytwarza fale kuliste):
Po przekształceniu:
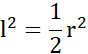
Moc akustyczna alarmu nie zmienia się w miarę oddalania od niego:
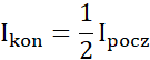
Chcemy, by natężenie zmalało dwukrotnie:
Więc otrzymujemy równość:
Natężenie zmalało dwukrotnie, gdy kierowca znalazł się 141 m od alarmu, czyli oddalił się o:
Odpowiedź: Natężenie dźwięku alarmu zmalało dwukrotnie, po pokonaniu przez kierowcę 41 metrów.
Skorzystaj ze wzoru na natężenie dźwięku (jest to iloraz mocy akustycznej i pola powierzchni, tutaj mamy do czynienia z falami kulistymi, czyli należy użyć wzoru na powierzchnię sfery). Zauważ, moc akustyczna nie zależy od odległości, w jakiej wykonujemy badanie, więc przyrównaj do siebie wzory na moc akustyczną (przekształć wzór na natężenie) w podanych w treści sytuacjach. Chcemy, by natężenie zmalało dwukrotnie, więc do wzoru na moc akustyczną na końcu badania wstaw połowię początkowego natężenia dźwięku. Przekształć równość, by otrzymać odległość kierowcy na końcu badania. Na koniec odejmij od otrzymanej wartości, odległość kierowcy od alarmu na początku badania, otrzymasz odległość, jaką musi on przebyć.
Zadanie 10.1.2.
191Zadanie 10.1.3.
191Zadanie 10.3.8.
203Zadanie 10.3.13.
203Zadanie 10.2.1.
195Zadanie 10.2.4.
196Zadanie 10.2.5.
196Zadanie 10.2.6.
196Zadanie 10.2.12.
197Zadanie 10.4.2.
208Zadanie 10.4.8.
208Zadanie 10.4.9.
209Zadanie 10.4.12.
209Zadanie 10.4.14.
209Zadanie 10.5.1.
213Zadanie 10.5.2.
213Zadanie 10.5.7.
214Zadanie 10.5.14.
216Zadanie 10.5.17.
217Zadanie 10.6.3.
225Zadanie 10.6.4.
225Zadanie 10.6.10.
226Zadanie 10.6.14.
227Zadanie 10.6.15.
227Zadanie 10.7.3.
240Zadanie 10.7.4.
241Zadanie 10.7.5.
241Zadanie 10.7.6.
241Zadanie 10.7.11.
242Zadanie 10.7.12.
242Zadanie 10.7.16.
243Zadanie 10.7.18.
243Zadanie 10.7.19.
243Zadanie 10.7.21.
244Zadanie 10.8.2.
249Zadanie 10.8.3.
249Zadanie 10.8.8.
250Zadanie 10.8.9.
250Zadanie 10.8.12.
251Zadanie 10.6.
252Zadanie 1. Piszczałki organowe
257Zadanie 2. Karetka pogotowia
275Zadanie 3. Rozchodzenie się dźwięku
259Zadanie 4. Rogi przeciwmgielne
259Zadanie 5. Pomiar prędkości dźwięku
260Zadanie 6. Klamerki
261