Wykonaj konieczne obliczenia i podaj, jak zmieni się poziom natężenia dźwięku, jeżeli natężenie dźwięku gwizdka zmieniło się od
Dane:
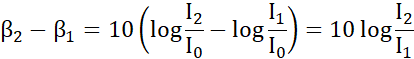
Skorzystajmy ze wzoru:
Z własności logarytmu (różnica logarytmów to logarytm ilorazu) otrzymujemy:
Odpowiedź: Po zmianie natężenia, poziom natężenia dźwięku gwizdka zmniejszy się o 40 dB, czyli będzie on cichszy.
Skorzystaj ze wzoru na poziom natężenia dźwięku (jest to iloczyn liczby 10 i logarytmu dziesiętnego z ilorazu natężenia dźwięku i progu słyszalności). Następnie oblicz różnicę poziomów natężenia, czyli wykonaj odejmowanie. Pamiętaj, różnica logarytmów to logarytm ilorazu. Aby ułatwić sobie liczenie, wyciągnij wykładnik liczby logarytmowanej przed logarytm (logarytm dziesiętny z 10 to 1). Otrzymany wynik jest ujemny, czyli poziom natężenia zmniejszył się, czyli dźwięk stał się cichszy.
Zadanie 10.1.2.
191Zadanie 10.1.3.
191Zadanie 10.3.8.
203Zadanie 10.3.13.
203Zadanie 10.2.1.
195Zadanie 10.2.4.
196Zadanie 10.2.5.
196Zadanie 10.2.6.
196Zadanie 10.2.12.
197Zadanie 10.4.2.
208Zadanie 10.4.8.
208Zadanie 10.4.9.
209Zadanie 10.4.12.
209Zadanie 10.4.14.
209Zadanie 10.5.1.
213Zadanie 10.5.2.
213Zadanie 10.5.7.
214Zadanie 10.5.14.
216Zadanie 10.5.17.
217Zadanie 10.6.3.
225Zadanie 10.6.4.
225Zadanie 10.6.10.
226Zadanie 10.6.14.
227Zadanie 10.6.15.
227Zadanie 10.7.3.
240Zadanie 10.7.4.
241Zadanie 10.7.5.
241Zadanie 10.7.6.
241Zadanie 10.7.11.
242Zadanie 10.7.12.
242Zadanie 10.7.16.
243Zadanie 10.7.18.
243Zadanie 10.7.19.
243Zadanie 10.7.21.
244Zadanie 10.8.2.
249Zadanie 10.8.3.
249Zadanie 10.8.8.
250Zadanie 10.8.9.
250Zadanie 10.8.12.
251Zadanie 10.6.
252Zadanie 1. Piszczałki organowe
257Zadanie 2. Karetka pogotowia
275Zadanie 3. Rozchodzenie się dźwięku
259Zadanie 4. Rogi przeciwmgielne
259Zadanie 5. Pomiar prędkości dźwięku
260Zadanie 6. Klamerki
261