Należy obliczyć wartość, o którą należy wzmocnić siłę naciągu, aby nastąpiło zjawisko rezonansu.
Dane:
Szukane:
Rozwiązanie:
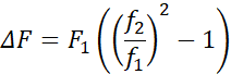
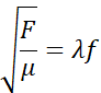
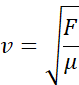
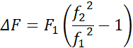
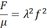
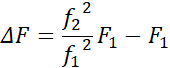
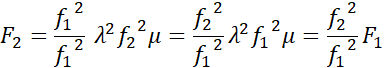
Zapisujemy wzór na prędkość rozchodzenia się fali na dwa sposoby z użyciem siły rozciągającej strunę i długości wytworzonej fali stojącej. Następnie wyprowadzamy wzór na siłę. Rezonans nastąpi wtedy, kiedy częstotliwość fali na strunie będzie taka sama jak tak od stroika. Długość fali się nie zmieni, dlatego, że zależy od długości struny, a ta się nie zmienia, zatem tylko częstotliwość ma wpływ, zapisując te warunki, obliczamy różnicę sił przed i po nastrojeniu i obliczamy różnicę.
Zadanie 10.1.2.
191Zadanie 10.1.3.
191Zadanie 10.3.8.
203Zadanie 10.3.13.
203Zadanie 10.2.1.
195Zadanie 10.2.4.
196Zadanie 10.2.5.
196Zadanie 10.2.6.
196Zadanie 10.2.12.
197Zadanie 10.4.2.
208Zadanie 10.4.8.
208Zadanie 10.4.9.
209Zadanie 10.4.12.
209Zadanie 10.4.14.
209Zadanie 10.5.1.
213Zadanie 10.5.2.
213Zadanie 10.5.7.
214Zadanie 10.5.14.
216Zadanie 10.5.17.
217Zadanie 10.6.3.
225Zadanie 10.6.4.
225Zadanie 10.6.10.
226Zadanie 10.6.14.
227Zadanie 10.6.15.
227Zadanie 10.7.3.
240Zadanie 10.7.4.
241Zadanie 10.7.5.
241Zadanie 10.7.6.
241Zadanie 10.7.11.
242Zadanie 10.7.12.
242Zadanie 10.7.16.
243Zadanie 10.7.18.
243Zadanie 10.7.19.
243Zadanie 10.7.21.
244Zadanie 10.8.2.
249Zadanie 10.8.3.
249Zadanie 10.8.8.
250Zadanie 10.8.9.
250Zadanie 10.8.12.
251Zadanie 10.6.
252Zadanie 1. Piszczałki organowe
257Zadanie 2. Karetka pogotowia
275Zadanie 3. Rozchodzenie się dźwięku
259Zadanie 4. Rogi przeciwmgielne
259Zadanie 5. Pomiar prędkości dźwięku
260Zadanie 6. Klamerki
261