Oblicz natężenie dźwięku w odległości r2 = 30 m od źródła, wiedząc, że natężenie w odległości r1 = 300 m od źródła dźwięku wynosiło
Dane:
r1 = 300 m
r2 = 30 m
Moc akustyczna źródła pozostaje taka sama w podanych sytuacjach (zmianie ulega jedynie odległość badania od źródła).
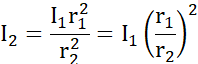
Korzystamy ze wzoru:
Źródło wytwarza falę kulistą, więc zapiszmy wzór na pole powierzchni sfery:
Przekształćmy równość:
Otrzymujemy więc:
Dzięki czemu:
Odpowiedź: Natężenie dźwięku w odległości 30 metrów od źródła wyniosło
Skorzystaj ze wzoru na natężenie dźwięku w zależności od mocy akustycznej. Źródło wytwarza falę kulistą, więc wstaw wzór na powierzchnię sfery. Z otrzymanej równości wyznacz moc akustyczną. Zauważ, moc akustyczna źródła nie ulega zmianie w podanych sytuacjach (zmieniamy tylko odległość badania od źródła), więc przyrównaj do siebie iloczyn natężenia i kwadratu odległości w każdej z podanych sytuacji. Wyznacz i wylicz szukane natężenie.
Zadanie 10.1.2.
191Zadanie 10.1.3.
191Zadanie 10.3.8.
203Zadanie 10.3.13.
203Zadanie 10.2.1.
195Zadanie 10.2.4.
196Zadanie 10.2.5.
196Zadanie 10.2.6.
196Zadanie 10.2.12.
197Zadanie 10.4.2.
208Zadanie 10.4.8.
208Zadanie 10.4.9.
209Zadanie 10.4.12.
209Zadanie 10.4.14.
209Zadanie 10.5.1.
213Zadanie 10.5.2.
213Zadanie 10.5.7.
214Zadanie 10.5.14.
216Zadanie 10.5.17.
217Zadanie 10.6.3.
225Zadanie 10.6.4.
225Zadanie 10.6.10.
226Zadanie 10.6.14.
227Zadanie 10.6.15.
227Zadanie 10.7.3.
240Zadanie 10.7.4.
241Zadanie 10.7.5.
241Zadanie 10.7.6.
241Zadanie 10.7.11.
242Zadanie 10.7.12.
242Zadanie 10.7.16.
243Zadanie 10.7.18.
243Zadanie 10.7.19.
243Zadanie 10.7.21.
244Zadanie 10.8.2.
249Zadanie 10.8.3.
249Zadanie 10.8.8.
250Zadanie 10.8.9.
250Zadanie 10.8.12.
251Zadanie 10.6.
252Zadanie 1. Piszczałki organowe
257Zadanie 2. Karetka pogotowia
275Zadanie 3. Rozchodzenie się dźwięku
259Zadanie 4. Rogi przeciwmgielne
259Zadanie 5. Pomiar prędkości dźwięku
260Zadanie 6. Klamerki
261