Podaj amplitudę, okres drgań i długość fali harmonicznej, wiedząc, że porusza się ona z prędkością v = 4
Dane:
v = 4
Równanie drgań źródła fali możemy zapisać jako:
Źródło fali umieszczono w początku układu współrzędnych, więc
Ze wzoru możemy odczytać, że:
A = 0,2 m
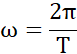
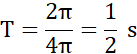
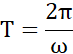
Wiemy, że:
więc:
Odpowiedź: Amplituda fali wynosi 0,2 m, jej okres to 0,5 s, a długość fali ma wartość 2 m.
Przypomnij sobie równanie opisujące drgania źródła fali w początku układu współrzędnych. Przesunięcie fazowe wynosi zero, gdyż źródło fali znajduje się na początku układu współrzędnych. Porównaj równanie z wyrażeniem z treści zadania. Następnie skorzystaj ze wzorów na częstość kołową (iloraz 2π oraz okresu) oraz długość fali (iloczyn prędkości i okresu). Wyznacz i wylicz okres drgań, a po nim długość fali.
Zadanie 10.1.2.
191Zadanie 10.1.3.
191Zadanie 10.3.8.
203Zadanie 10.3.13.
203Zadanie 10.2.1.
195Zadanie 10.2.4.
196Zadanie 10.2.5.
196Zadanie 10.2.6.
196Zadanie 10.2.12.
197Zadanie 10.4.2.
208Zadanie 10.4.8.
208Zadanie 10.4.9.
209Zadanie 10.4.12.
209Zadanie 10.4.14.
209Zadanie 10.5.1.
213Zadanie 10.5.2.
213Zadanie 10.5.7.
214Zadanie 10.5.14.
216Zadanie 10.5.17.
217Zadanie 10.6.3.
225Zadanie 10.6.4.
225Zadanie 10.6.10.
226Zadanie 10.6.14.
227Zadanie 10.6.15.
227Zadanie 10.7.3.
240Zadanie 10.7.4.
241Zadanie 10.7.5.
241Zadanie 10.7.6.
241Zadanie 10.7.11.
242Zadanie 10.7.12.
242Zadanie 10.7.16.
243Zadanie 10.7.18.
243Zadanie 10.7.19.
243Zadanie 10.7.21.
244Zadanie 10.8.2.
249Zadanie 10.8.3.
249Zadanie 10.8.8.
250Zadanie 10.8.9.
250Zadanie 10.8.12.
251Zadanie 10.6.
252Zadanie 1. Piszczałki organowe
257Zadanie 2. Karetka pogotowia
275Zadanie 3. Rozchodzenie się dźwięku
259Zadanie 4. Rogi przeciwmgielne
259Zadanie 5. Pomiar prędkości dźwięku
260Zadanie 6. Klamerki
261