Na podstawie danych z przeprowadzonych doświadczeń należy wyznaczyć przyspieszenie grawitacyjne.
Dane:
Szukane:
Rozwiązanie:
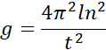
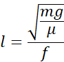
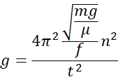
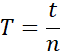
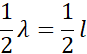
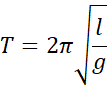
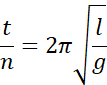
Z pierwszego doświadczenia wyznaczamy długość drutu. Siła odpowiedzialna za naprężanie naszego sznura to siła ciężkości ciężarka, korzystając z dwóch wzorów na prędkość fali, wyprowadzamy wzór na długość drutu, pamiętając, że bloczek został ustawiony dokładnie w połowie długości drutu, a zgodnie z zadaniem fala, która wytworzyła się na połowie, miała dwa węzły i jedną strzałkę, wiemy, że od węzła do węzła i od strzałki do strzałki jest połowa długości fali, czyli połowa długości drutu jest równa połowie długości fali. Z drugiego doświadczenia dzieląc czas przez liczbę wahnięć, otrzymamy okres drgań tego wahadła matematycznego, które możemy zapisać przy pomocy wzoru z wykorzystaniem jego długości i przyspieszenia. Z tej równości wyprowadzamy wzór na przyspieszenie, gdzie w miejsce długości wahadła podstawiamy wcześniej wyprowadzoną przez nas długość drutu, po przekształceniach dochodzimy do końcowego wzoru na przyspieszenie.
Zadanie 10.1.2.
191Zadanie 10.1.3.
191Zadanie 10.3.8.
203Zadanie 10.3.13.
203Zadanie 10.2.1.
195Zadanie 10.2.4.
196Zadanie 10.2.5.
196Zadanie 10.2.6.
196Zadanie 10.2.12.
197Zadanie 10.4.2.
208Zadanie 10.4.8.
208Zadanie 10.4.9.
209Zadanie 10.4.12.
209Zadanie 10.4.14.
209Zadanie 10.5.1.
213Zadanie 10.5.2.
213Zadanie 10.5.7.
214Zadanie 10.5.14.
216Zadanie 10.5.17.
217Zadanie 10.6.3.
225Zadanie 10.6.4.
225Zadanie 10.6.10.
226Zadanie 10.6.14.
227Zadanie 10.6.15.
227Zadanie 10.7.3.
240Zadanie 10.7.4.
241Zadanie 10.7.5.
241Zadanie 10.7.6.
241Zadanie 10.7.11.
242Zadanie 10.7.12.
242Zadanie 10.7.16.
243Zadanie 10.7.18.
243Zadanie 10.7.19.
243Zadanie 10.7.21.
244Zadanie 10.8.2.
249Zadanie 10.8.3.
249Zadanie 10.8.8.
250Zadanie 10.8.9.
250Zadanie 10.8.12.
251Zadanie 10.6.
252Zadanie 1. Piszczałki organowe
257Zadanie 2. Karetka pogotowia
275Zadanie 3. Rozchodzenie się dźwięku
259Zadanie 4. Rogi przeciwmgielne
259Zadanie 5. Pomiar prędkości dźwięku
260Zadanie 6. Klamerki
261