Należy obliczyć częstotliwość, odległość między sąsiednimi węzłami oraz wysokość strzałki.
Dane:
Szukane:
Rozwiązanie:
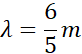
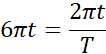
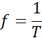
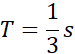
Korzystając z równania fali podanej w zadaniu oraz ogólnej, porównując argumenty sinusa wyznaczamy częstotliwość, porównując argumenty cosinusa wyznaczamy długość fali, a następnie odległość między węzłami, pamiętając, że jest to połowa długości fali.
Zadanie 10.1.2.
191Zadanie 10.1.3.
191Zadanie 10.3.8.
203Zadanie 10.3.13.
203Zadanie 10.2.1.
195Zadanie 10.2.4.
196Zadanie 10.2.5.
196Zadanie 10.2.6.
196Zadanie 10.2.12.
197Zadanie 10.4.2.
208Zadanie 10.4.8.
208Zadanie 10.4.9.
209Zadanie 10.4.12.
209Zadanie 10.4.14.
209Zadanie 10.5.1.
213Zadanie 10.5.2.
213Zadanie 10.5.7.
214Zadanie 10.5.14.
216Zadanie 10.5.17.
217Zadanie 10.6.3.
225Zadanie 10.6.4.
225Zadanie 10.6.10.
226Zadanie 10.6.14.
227Zadanie 10.6.15.
227Zadanie 10.7.3.
240Zadanie 10.7.4.
241Zadanie 10.7.5.
241Zadanie 10.7.6.
241Zadanie 10.7.11.
242Zadanie 10.7.12.
242Zadanie 10.7.16.
243Zadanie 10.7.18.
243Zadanie 10.7.19.
243Zadanie 10.7.21.
244Zadanie 10.8.2.
249Zadanie 10.8.3.
249Zadanie 10.8.8.
250Zadanie 10.8.9.
250Zadanie 10.8.12.
251Zadanie 10.6.
252Zadanie 1. Piszczałki organowe
257Zadanie 2. Karetka pogotowia
275Zadanie 3. Rozchodzenie się dźwięku
259Zadanie 4. Rogi przeciwmgielne
259Zadanie 5. Pomiar prędkości dźwięku
260Zadanie 6. Klamerki
261