Dane:
m = 1 kg
h = 30 m
v1 = 20
v2 = 30
W =
Ec1 - energia całkowita w trakcie rzutu
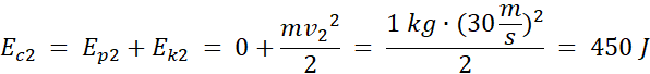
Ec2 - energia całkowita w trakcie upadku
Praca hamowania powietrza spowodowała wzrost energii wewnętrznej.
Praca jest to energia przekazana ciału lub od niego odebrana w wyniku działania na ciało siłą, zatem praca jest równa zmianie energii.