Dane:
m1 = m2 = 10 t
v1 = 4
pp - pęd początkowy,
pk - pęd końcowy
pp = m1v1
pk = (m1 + m2) ∙ v2
Z zasady zachowania pędu:
pp = pk
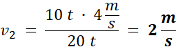
m1v1 = (m1 + m2) ∙ v2
Korzystamy z zasady zachowania pędu, która mówi, że suma pędów przed zderzeniem musi być równa sumie pędów po zderzeniu. Ponieważ drugi wagon był nie ruchomy, pęd początkowy jest równy tylko pędowi pierwszego wagonu. Nastąpiło zderzenie niesprężyste, dlatego pęd końcowy jest równy (m1 + m2) ∙ v2.