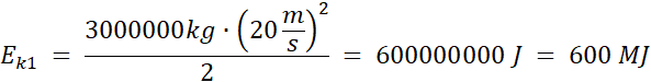
W tym zadaniu musisz obliczyć, o ile wzrosła energia wewnętrzna hamulców i kół wagonów, o które tarły hamulce podczas hamowania pociągu.
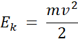
Zmiana energii wewnętrznej jest równa zmianie energii kinetycznej kół.
1M (mega) = 1 000 000
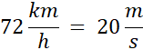
Rachunek jednostek:
Zadanie 10.1.
Zadanie 10.2.
Podpunkt A)
Podpunkt B)
Podpunkt C)
Podpunkt D)
Zadanie 10.3.
Zadanie 10.4.
Zadanie 10.5.
Zadanie 10.6.
Zadanie 10.7.
Zadanie 10.8.
Zadanie 10.9.
Zadanie 10.10.
Zadanie 10.11.
Zadanie 10.12.
Zadanie 10.13.
Zadanie 10.14.
Zadanie 10.15.
Zadanie 10.16.
Zadanie 10.17.
Zadanie 10.18.
Zadanie 10.19.
Zadanie 10.20.
Zadanie 10.21.
Zadanie 10.22.
Zadanie 10.23.
Zadanie 10.24.
Zadanie 10.25.
Zadanie 10.26.
Zadanie 10.27.
Zadanie 10.28.
Zadanie 10.29.
Podpunkt 1)
Zadanie 10.30.
Zadanie 10.31.
Zadanie 10.32.
Zadanie 10.33.
Zadanie 10.34.
Zadanie 10.35.
Zadanie 10.36.
Zadanie 10.37.
Zadanie 10.38.
Zadanie 10.39.
Zadanie 10.40.
Zadanie 10.41.
Zadanie 10.42.
Zadanie 10.43.
Zadanie 10.44.
Zadanie 10.45.
Zadanie 10.46.
Zadanie 10.47.
Zadanie 10.48.
Zadanie 10.49.
Zadanie 10.50.
Zadanie 10.51.
Zadanie 10.52.
Zadanie 10.53.
Zadanie 10.54.
Zadanie 10.55.
Zadanie 10.56.
Zadanie 10.57.
Zadanie 10.58.
Zadanie 10.59.
Zadanie 10.60.
Zadanie 10.61.
Zadanie 10.62.
Zadanie 10.63.
Zadanie 10.64.
Zadanie 10.65.
Zadanie 10.66.
Zadanie 10.67.
Zadanie 10.68.
Zadanie 10.69.
Zadanie 10.70.
Zadanie 10.71.
Zadanie 10.72.
Zadanie 10.73.
Zadanie 10.74.
Zadanie 10.75.
Zadanie 10.76.
Zadanie 10.77.
Zadanie 10.78.
Zadanie 10.79.
Zadanie 10.80.
Zadanie 10.81.
Zadanie 10.82.
Zadanie 10.83.
Zadanie 10.84.
Zadanie 10.85.
Zadanie 10.86.
Zadanie 10.87.
Zadanie 10.88.
Zadanie 10.89.
Zadanie 10.90.
Zadanie 10.91
Zadanie 10.92.
Zadanie 10.93.
Zadanie 10.94.
Zadanie 10.95.
Zadanie 10.96.
Zadanie 10.97.
Zadanie 10.98.
Zadanie 10.99.
Zadanie 10.100.
Zadanie 10.101.
Zadanie 10.102.
Zadanie 10.103.
Zadanie 10.104.
Zadanie 10.105.
Zadanie 10.106.
Zadanie 10.107.
Zadanie 10.108.
Zadanie 10.109.
Zadanie 10.110.
Zadanie 10.111.
Zadanie 10.112.
Zadanie 10.113.