W tym zadaniu musisz obliczyć, wzrost temperatury żelaznego przedmiotu opuszczonego z samolotu wskutek tarcia o powietrze i przy uderzeniu o powierzchnię Ziemi, jeżeli na wzrost jego temperatury idzie 50% powstałej energii wewnętrznej.
Rozwiązanie
Rachunek jednostek:
Wyjaśnienie
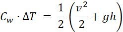
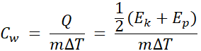
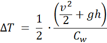
Korzystamy ze wzoru na ciepło właściwe , przekształcając go tak, aby wyliczyć ciepło pobrane. Z polecenia dowiadujemy się, że na wzrost temperatury przedmiotu zużywane jest 50% powstałej energii wewnętrznej, zatem Q możemy zapisać jako: . Zatem z przyrównania do obliczenia pozostaje nam ∆T.