W tym zadaniu musisz obliczyć, zmianę energii mechanicznej, na skutek uderzenia i odbicia się piłki.
Rozwiązanie
Dane:
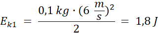
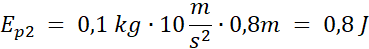
m = 0,1 kg
v = 6
h = 0,8 m
g = 10
energia mechaniczna przed odbiciem
energia mechaniczna po odbiciu
Wyjaśnienie
Na energię mechaniczną składa się energia kinetyczna i energia potencjalna . Przed odbiciem energia kinetyczna jest maksymalna, natomiast energia potencjalna wynosi 0. Na najwyższej wysokości po odbiciu energia potencjalna jest maksymalna, natomiast energia kinetyczna wynosi 0.