Gdy odległość między ładunkami wzrośnie sześciokrotnie, to wartość siły oddziaływania między nimi
A. nie zmieni się, jeśli każdy z tych ładunków zwiększymy sześciokrotnie.
C. zmaleje 36 razy.
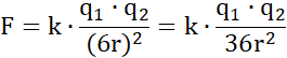
Wykorzystaj wzór na siłę wzajemnego oddziaływania elektrostatycznego:
gdzie F – siła wzajemnego oddziaływania elektrostatycznego [N],
k – stała elektrostatyczna
q1, q2 – ładunki elektryczne [C],
r – odległość między ładunkami [m].
Jeśli odległość zwiększy się 6 razy:
Siła zmniejszy się 36 razy.
By była taka sama, to należy zwiększyć każdy ładunek sześciokrotnie.