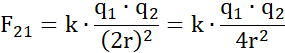
Z rysunku widzimy, że:
Po zwiększeniu dwukrotnie odległości:
Siła będzie 4 razy mniejsza od pierwotnej siły, dlatego wyniesie ona 1 N.
Wykorzystaj wzór na siłę wzajemnego oddziaływania elektrostatycznego:
gdzie F – siła wzajemnego oddziaływania elektrostatycznego [N],
k – stała elektrostatyczna
q1, q2 – ładunki elektryczne [C],
r – odległość między ładunkami [m]