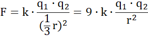
Początkowa wartość siły:
Jeśli odległość zmniejszymy trzykrotnie:
Odpowiedź: C. wzrośnie 9 razy.
Wykorzystaj wzór na siłę wzajemnego oddziaływania elektrostatycznego:
gdzie F – siła wzajemnego oddziaływania elektrostatycznego [N],
k – stała elektrostatyczna
q1, q2 – ładunki elektryczne [C],
r – odległość między ładunkami [m].