Na podstawie danych z tabelki policz masę gwiazdy i wyraź ją jako wielokrotność masy Słońca.
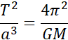
Zgodnie ze wzorem wynikającym z 3 prawa Keplera:
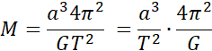
Masa gwiazdy:
Z dowolnego punktu na wykresie znajdujemy
Masa Słońca:
Wielokrotność masy Słońca:
3 prawo Keplera mówi, że stosunek kwadratu okresu obiegu planety wokół Słońca do sześcianu średniej odległości od Słońca jest taki sam dla wszystkich planet w naszym Układzie Słonecznym. Możesz również to prawo stosować dla księżyców planet czy innych gwiazd.
Z prawa Keplera wynika wzór:
Gdzie T – okres obrotu planety [s],
a – odległość planety od gwiazdy [m],
G – stała grawitacji [
M – masa obiektu, wokół którego krąży satelita [kg].
Pamiętaj, że musisz przeliczyć iloraz wynikający z wykresu na jednostki podstawowe SI. Pamiętaj, że jedna jednostka astronomiczna to
Zadanie 11.1.8.
16Zadanie 11.1.9.
17Zadanie 11.1.10.
17Zadanie 11.2.2.
21Zadanie 11.2.7.
25Zadanie 11.3.14.
33Zadanie 11.3.17.
34Zadanie 11.3.19.
35Zadanie 11.3.20.
35Zadanie 11.3.22.
35Zadanie 11.3.24.
36Zadanie 11.3.25.
36Zadanie 11.3.26.
36Zadanie 11.4.10.
44Zadanie 11.4.11.
44Zadanie 11.4.12.
44Zadanie 11.4.20.
46Zadanie 11.4.22.
46Zadanie 11.5.8.
54Zadanie 11.5.16.
57Zadanie 11.6.1.
66Zadanie 11.6.6.
67Zadanie 11.6.7.
67Zadanie 11.6.11.
68Zadanie 11.6.12.
69Zadanie 11.6.16.
69Zadanie 11.6.22.
70Zadanie 11.6.23.
71Zadanie 11.6.24.
71Zadanie 11.6.25.
71Zadanie 11.6.26.
72Zadanie 11.7.1.
74Zadanie 11.7.3.
75Zadanie 11.7.4.
75