Policz, jaki był zasięg modułu Orzeł na Księżycu, jeśli jego lot był rzutem poziomym, a na wysokości 150 m miał prędkość v1
Promień orbity kołowej:
Przyspieszenie grawitacyjne na Księżycu:
Zasięg liczymy ze wzoru:
Wysokość:
Czas:
Zasięg ostatecznie:
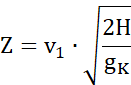
Zasięg policz ze wzoru:
Gdzie Z – długość rzutu (zasięg) [m],
t – czas [s].
Wysokość rzutu policzysz ze wzoru:
H – wysokość początkowa [m],
g – przyspieszenie grawitacyjne [
Zadanie 11.1.8.
16Zadanie 11.1.9.
17Zadanie 11.1.10.
17Zadanie 11.2.2.
21Zadanie 11.2.7.
25Zadanie 11.3.14.
33Zadanie 11.3.17.
34Zadanie 11.3.19.
35Zadanie 11.3.20.
35Zadanie 11.3.22.
35Zadanie 11.3.24.
36Zadanie 11.3.25.
36Zadanie 11.3.26.
36Zadanie 11.4.10.
44Zadanie 11.4.11.
44Zadanie 11.4.12.
44Zadanie 11.4.20.
46Zadanie 11.4.22.
46Zadanie 11.5.8.
54Zadanie 11.5.16.
57Zadanie 11.6.1.
66Zadanie 11.6.6.
67Zadanie 11.6.7.
67Zadanie 11.6.11.
68Zadanie 11.6.12.
69Zadanie 11.6.16.
69Zadanie 11.6.22.
70Zadanie 11.6.23.
71Zadanie 11.6.24.
71Zadanie 11.6.25.
71Zadanie 11.6.26.
72Zadanie 11.7.1.
74Zadanie 11.7.3.
75Zadanie 11.7.4.
75