Policz stosunek ciężaru ciała o pewnej masie na równiku Saturna do ciężaru tego ciała na biegunie.
Promień planety:
Gęstość:
Okres:
Siła ciężkości na biegunie:
Siła ciężkości na równiku:
Siła odśrodkowa:
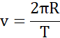
Prędkość w ruchu obrotowym:
Zależność między siłą ciężkości na biegunie i na równiku:
Przyspieszenie:
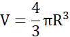
Masę zapisz jako iloczyn gęstości i objętości:
Wstaw do wzoru:
Wzór na siłę odśrodkową ma postać:
gdzie Fo – siła odśrodkowa [N],
m – masa ciała [kg],
v – prędkość ciała [
R – promień [m].
Wzór na prędkość w ruchu obrotowym:
gdzie T – okres obrotu [s].
Wzór na przyspieszenie grawitacyjne ma postać:
gdzie G – stała grawitacji [
g – przyspieszenie grawitacyjne
M – masa ciała [kg],
R – promień tego ciała [m] (jeśli mówisz o przyspieszeniu przy powierzchni planety – jeśli nie, to bierzesz pod uwagę odległość od środka planety).
Siła odśrodkowa zmniejsza ciężar ciała na równiku. Na biegunie siła ta jest równa zero, bo przez biegun przechodzi oś obrotu (R = 0).
Zadanie 11.1.8.
16Zadanie 11.1.9.
17Zadanie 11.1.10.
17Zadanie 11.2.2.
21Zadanie 11.2.7.
25Zadanie 11.3.14.
33Zadanie 11.3.17.
34Zadanie 11.3.19.
35Zadanie 11.3.20.
35Zadanie 11.3.22.
35Zadanie 11.3.24.
36Zadanie 11.3.25.
36Zadanie 11.3.26.
36Zadanie 11.4.10.
44Zadanie 11.4.11.
44Zadanie 11.4.12.
44Zadanie 11.4.20.
46Zadanie 11.4.22.
46Zadanie 11.5.8.
54Zadanie 11.5.16.
57Zadanie 11.6.1.
66Zadanie 11.6.6.
67Zadanie 11.6.7.
67Zadanie 11.6.11.
68Zadanie 11.6.12.
69Zadanie 11.6.16.
69Zadanie 11.6.22.
70Zadanie 11.6.23.
71Zadanie 11.6.24.
71Zadanie 11.6.25.
71Zadanie 11.6.26.
72Zadanie 11.7.1.
74Zadanie 11.7.3.
75Zadanie 11.7.4.
75