Na dwa obiekty o takiej samej masie oddalone o siebie w pewnej odległości działa siła przyciągania. Określ, czy stwierdzenia podane w tabeli opisujące komety są prawdziwe, czy fałszywe.
F – 1. Jeśli zwiększymy masę pierwszego obiektu dwa razy: m1 = 2m, a masę drugiego zwiększymy trzy razy: m2 = 3m, to siła ich wzajemnego przyciągania wzrośnie 5 razy.
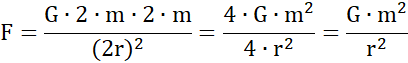
P – Jeśli masę każdego obiektu zwiększymy dwa razy: m1 = m2 = 2 m, i jednocześnie odległość między tymi obiektami wzrośnie dwa razy, to siła ich wzajemnego oddziaływania się nie zmieni.
F – 3. Jeśli odległość między obiektami zwiększy się pięć razy, to siła ich wzajemnego oddziaływania zmaleje pięć razy.
Wykorzystaj wzór na siłę przyciągania grawitacyjnego między dwoma ciałami:
gdzie F – siła grawitacji [N],
G – stała grawitacji [
M1 – masa pierwszego ciała [kg],
M2 – masa drugiego ciała [kg],
r – odległość między dwoma ciałami [m].
Początkowa siła:
Dla pierwszego przypadku:
Siła wzrosła 6 razy.
Dla drugiego przypadku:
Siła nie zmieni się.
Dla trzeciego przypadku:
Siła zmaleje 25 razy.
Zadanie 11.1.8.
16Zadanie 11.1.9.
17Zadanie 11.1.10.
17Zadanie 11.2.2.
21Zadanie 11.2.7.
25Zadanie 11.3.14.
33Zadanie 11.3.17.
34Zadanie 11.3.19.
35Zadanie 11.3.20.
35Zadanie 11.3.22.
35Zadanie 11.3.24.
36Zadanie 11.3.25.
36Zadanie 11.3.26.
36Zadanie 11.4.10.
44Zadanie 11.4.11.
44Zadanie 11.4.12.
44Zadanie 11.4.20.
46Zadanie 11.4.22.
46Zadanie 11.5.8.
54Zadanie 11.5.16.
57Zadanie 11.6.1.
66Zadanie 11.6.6.
67Zadanie 11.6.7.
67Zadanie 11.6.11.
68Zadanie 11.6.12.
69Zadanie 11.6.16.
69Zadanie 11.6.22.
70Zadanie 11.6.23.
71Zadanie 11.6.24.
71Zadanie 11.6.25.
71Zadanie 11.6.26.
72Zadanie 11.7.1.
74Zadanie 11.7.3.
75Zadanie 11.7.4.
75