Policz, jaka była średnia odległość każdego ze składników od środka masy układu.
Masa ciała 1 i 2 jest równa masie układu:
Ciała poruszają się z siłami dośrodkowymi o takich samych prędkościach kątowych:
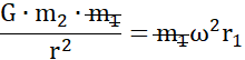
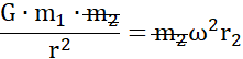
Z zależności na siłę grawitacji:
Jest ona równa siłom dośrodkowym:
Promień r1:
Promień r2:
Porównanie promieni:
Suma odległości jest równa średniej odległości Ziemia-Słońce:
Promień r2:
Promień r1:
Wzór na siłę dośrodkową ma postać:
gdzie Fo – siła dośrodkowa [N],
m – masa ciała [kg],
v – prędkość ciała [
R – promień [m]
Wzór na prędkość w ruchu obrotowym:
gdzie
Wykorzystaj wzór na siłę przyciągania grawitacyjnego między dwoma ciałami:
gdzie F – siła grawitacji [N],
G – stała grawitacji [
M1 – masa pierwszego ciała [kg],
M2 – masa drugiego ciała [kg],
r – odległość między środkami dwóch ciał [m].
Zadanie 11.1.8.
16Zadanie 11.1.9.
17Zadanie 11.1.10.
17Zadanie 11.2.2.
21Zadanie 11.2.7.
25Zadanie 11.3.14.
33Zadanie 11.3.17.
34Zadanie 11.3.19.
35Zadanie 11.3.20.
35Zadanie 11.3.22.
35Zadanie 11.3.24.
36Zadanie 11.3.25.
36Zadanie 11.3.26.
36Zadanie 11.4.10.
44Zadanie 11.4.11.
44Zadanie 11.4.12.
44Zadanie 11.4.20.
46Zadanie 11.4.22.
46Zadanie 11.5.8.
54Zadanie 11.5.16.
57Zadanie 11.6.1.
66Zadanie 11.6.6.
67Zadanie 11.6.7.
67Zadanie 11.6.11.
68Zadanie 11.6.12.
69Zadanie 11.6.16.
69Zadanie 11.6.22.
70Zadanie 11.6.23.
71Zadanie 11.6.24.
71Zadanie 11.6.25.
71Zadanie 11.6.26.
72Zadanie 11.7.1.
74Zadanie 11.7.3.
75Zadanie 11.7.4.
75